Kingsmen bebohrt Neuentdeckung mit hochgradiger Silber- und Goldmineralisierung (931 g/t Silberäquivalent mit 1,28 g/t Gold über 1,60 Meter (156,4-158,0 m))

Kingsmen Resources Ltd. (TSXV: KNG) (OTCQB: KNGRF) (FWB: TUY) („Kingsmen“ oder das „Unternehmen“) freut sich, erste Untersuchungsergebnisse aus dem Bohrloch LC-25-008 bekanntzugeben, in dem eine bedeutende neue goldreiche Silbermineralisierung durchteuft wurde. Dieses Bohrloch wurde 160 Meter von der bereits gemeldeten hochgradigen Silberentdeckung mit 1.028 g/t Silberäquivalent über 1,45 Meter (455 g/t Silber) von 190,25-191,70 m einschließlich 1.742 g/t Silberäquivalent über 0,70 Meter (770 g/t Silber) von 190,85-191,55 m in Bohrloch LC-25-010 gebohrt (siehe Pressemitteilung vom 24. September 2025). Diese Bohrlöcher wurden im Rahmen des 12 Bohrlöcher mit 3.227,2 Metern umfassenden Bohrprogramms niedergebracht, das vor Kurzem auf dem zu 100 % im Besitz des Unternehmens befindlichen Silberprojekt Las Coloradas absolviert wurde. Das Projekt Las Coloradas befindet sich im Bergbaurevier Parral im Central Mexican Silver Belt im mexikanischen Bundesstaat Chihuahua.

Die vier wichtigsten Höhepunkte:

  1. HOCHGRADIGE SILBERENTDECKUNG

* 931 g/t Silberäquivalent mit 1,28 g/t Gold über 1,60 Meter (521 g/t Silber) von 156,4-158,0 m.

* Goldreiche Mineralisierung.

  1. NEUE ENTDECKUNG – MäCHTIGE MINERALISIERTE ZONE

*200 g/t Silberäquivalent und 0,28 g/t Gold über 10,50 Meter (97,4 g/t Silber) von 154,5-165,0 m.

*Neues Silber-Gold-Ziel.

*Das Bohrloch wurde 160 Meter vom hochgradigen Bohrloch LC-25-010 gebohrt.

  1. FLACHE MINERALISIERUNG IN DER NÄHE DER OBERFLÄCHE

Die Mineralisierung beginnt bei ca. 135 Meter wahrer Teufe.

*Mehrere Mineralisierungstypen einschließlich Massivsulfide.

* Starke Indikatorelemente (Antimon, Indium, Wismut und Tellur) deuten auf ein größeres System hin.

  1. BETRÄCHTLICHES ENTDECKUNGSPOTENZIAL

* Weniger als 5 % des Konzessionsgebiets erkundet

* konsolidiertes historisches Bergbaurevier mit 8,5 km2 Grundfläche

* Mehrere unerprobte Strukturen und Erzgänge

* Standort: Mexikos ertragreiches Silberrevier Parral

President Scott Emerson merkte wie folgt an: „Die in diesem Bohrloch durchteufte goldreiche Silbermineralisierung ist eine aufregende Entdeckung in einer bisher unbekannten Struktur. Die mineralisierten Abschnitte in diesem Bohrloch und in Bohrloch LC-25-010 sind wesentlich breiter als die historischen Abschnitte, die von ASARCO für die Soledad-Mineralisierung gemeldet und abgebaut wurden. Durch diese neue Entdeckung kommt potenziell eine 3. Struktur in einem quasi neuen Gebiet hinzu, und die Goldwerte erhöhen den Wert der Mineralisierung erheblich. Es wird angenommen, dass diese Mineralisierung derjenigen der alten Mine La Prieta ähnlich ist, deren Abgänge im Betrieb Parral von GoGold wiederaufbereitet werden. Darüber hinaus eröffnet sie das Potenzial für weitere bedeutende Entdeckungen in bisher ungetesteten Strukturen, die an der Oberfläche kartiert werden können.“

Vice President of Exploration, Kieran Downes, Ph.D., P.Geo., äußerte sich wie folgt: „Das Konzessionsgebiet liefert weiterhin spannende und vielversprechende Ergebnisse, die das Potenzial für weitere, neue hochgradige Entdeckungen aufzeigen. Es gibt viele Kilometer Gänge/Strukturen, die alle vielversprechend sind, insbesondere dort, wo durch Lageänderungen, Spreizungen, lithologische Kontakte und Überschneidungen dilatante Zonen für die Mineralisierung entstehen können. Die Form der Mineralisierung kann von einfachen Gängen über steile Erzfälle bis hin zu Mantos variieren. Die Rolle der in der Tiefe durchteuften Intrusion, falls vorhanden, wird in Verbindung mit dem Erhalt der Untersuchungsergebnisse bewertet.“

Bohrloch LC-25-008 wurde zur Prüfung von zwei separaten Zielen gebohrt.

–          Ziel 1 war der Schnittpunkt einer in NO-Richtung streichenden Ader/Struktur mit einer Biegung/Cymoidkurve in einer nordwestlich streichenden Ader/Struktur am Rand eines hohen Magnetfelds (Abbildungen 1 und 2). Die Biegung ist ungefähr 400 Meter lang und könnte in Ziel 1 und darüber hinaus eine oder mehrere Dilatationszonen geschaffen haben. Der Bohrlochgrund war intrusiv, was die Interpretation der Magnetik bestätigte. Ziel 1 lieferte die in dieser Pressemitteilung gemeldete signifikante Überschneidung (Tabelle 1).

–          Ziel 2 war der Schnittpunkt von in NW-Richtung und in NO-Richtung verlaufenden Strukturen/Gangsystemen in einem Gebiet mit hoher Aufladbarkeit und hohem Widerstand am Rande eines hohen Magnetfelds/einer Intrusion (Abbildung 2). Die Ergebnisse stehen noch aus.

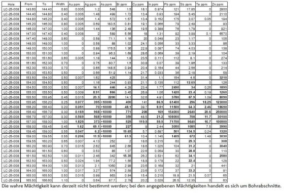
In Bohrloch LC-25-008 (Tabelle 1; Tabelle 2; Tabelle 3) wurde eine Alterationszone mit einer Massivsulfidmineralisierung von ca. 154,5 bis 165,0 Meter (10,50 Meter) bohrlochabwärts durchteuft. Die silberreiche Massivsulfidmineralisierung enthält Sphalerit, Galenit, Arsenopyrit und Pyrit (Abbildungen 3 und 4). Die Mineralisierung weist starke Anomalien in Bezug auf die Indikatorelemente Antimon, Wismut, Indium, Arsen und Tellur auf (Tabelle 1). Die Silberwerte variieren je nach Galenit-Sphalerit-Gehalt. Mit der hochgradigen Silbermineralisierung sind signifikante Goldwerte verbunden, die je nach Arsenopyrit-Gehalt variieren. Bemerkenswert ist das Vorhandensein von damit verbundenen erhöhten bis anomalen Tellurwerten, einem wichtigen Indikator für Goldmineralisierungen. Die Mineralisierung weist spät entstandene Verwerfungen und Brekziierung auf. Das Bohrloch endete in einem fein- bis mittelkörnigen Feldspat-Porphyr mit eingesprengtem Pyrit, was die Interpretation der Magnetik bestätigte.

Die Mineralisierungszone weist von 155,95 bis 157,0 Metern einen brekziösen Abschnitt auf, der aus durchscheinenden Quarzgängen, weißem Quarz und stockförmig angeordneten Sulfiden besteht. Sphalerit ist neben Pyrit vorherrschend, wobei auch kleinere Mengen an Galenit und Arsenopyrit vorhanden sind. Arsenopyrit ist in den Quarzgängen vorherrschend. Von 157,0 bis 158,45 m befindet sich ein Hohlraum mit Ansammlungen von Arsenopyrit, Pyrit, Galenit, Sphalerit und Drusen mit prismatischem Quarz und möglicherweise Jamesonit-Kristallen. Beim Muttergestein handelt es sich um Sedimente, die eine mäßige Scherdeformation, eine intensive grüne chloritische Alteration und eine Silifizierung aufweisen.

Die Formel zur Berechnung des Silberäquivalents lautet: Agäq (g/t) = ((Ag-Gehalt (g/t) x (Ag-Preis pro Unze/31,10348) x Ag-Ausbeute) + (Pb-Gehalt (%) x (Pb-Preis pro Tonne/100) x Pb-Ausbeute) + (Zn-Gehalt (%) x (Zink-Preis pro Tonne/100) x Zn-Ausbeute) + (Au-Gehalt (g/t) x (Au-Preis pro Unze/31,10348) x Au-Ausbeute)) / (Ag-Preis pro Unze/31,10348 x Ag-Ausbeute). Die verwendeten Preise lauteten 3.675 US$ pro Unze Gold, 2.960 US$ pro Tonne Zink, 2.003 US$ pro Tonne Blei und 42 US$ pro Unze Silber. Die Gewinnungsraten (Ausbeute) werden auf Grundlage der Angaben, die von Kootenay Silver Inc. für die Sulfidmineralisierung in der Lagerstätte Cigarra in Chihuahua (Mexiko), einer Lagerstätte mit einem ähnlichen Mineralisierungstyp, veröffentlicht wurden (https://kootenaysilver.com/news/kootenay/2024/kootenay-silver-announces-updated-mineral-resource-estimate-for-la-cigarra-project-chihuahua-mexico), auf 40 % für Gold, 91 % für Blei, 85 % für Zink und 92 % für Silber geschätzt.

Die Bohrungen 5, 6, 7 und 10 erprobten einen 100 Meter langen Abschnitt des Systems Soledad, der sich um den Schacht Soledad herum befindet. Die Bohrungen 9 und 11 erprobten die Struktur im Bereich des Schachts Rosario. Die Bohrungen 2, 3 und 4 erprobten einen 50 Meter langen Abschnitt der Struktur/des Gangsystems Soledad im Zielgebiet DBD. Die Bohrung 12 zielte auf Bereiche unter alten Abbaustätten auf der Struktur/dem Gangsystem Soledad II ab. Die Bohrungen 1 und 8 untersuchten ein geologisches/geophysikalisches Ziel. Das Ziel war der Schnittpunkt von nach Nordwest und nach Nordost streichenden Strukturen/Gangsystemen in einem Gebiet mit hoher Aufladbarkeit und hohem Widerstand auf einer interpretierten nach Nordwest streichenden magnetischen Struktur.

Qualitätssicherung/Qualitätskontrolle (QA/QC)

Die Bohrkerne (HQ-Durchmesser) wurden geologisch protokolliert und beprobt. Der gesamte Bohrkern wurde mit einer Diamant-Gesteinssäge in zwei Hälften gesägt. Eine Hälfte des gesägten Bohrkerns wurde in Beutel verpackt und für die Analyse mit Etiketten versehen. Die andere Hälfte wurde in die Bohrkernkisten zurückgelegt und gelagert. Die verpackten Proben wurden vor der Einreichung zur Analyse sicher gelagert. Die Proben werden an die Einrichtung von ALS Geochemistry in Chihuahua geschickt, wo nach einer Vier-Säure-Aufschlussmethode (Code ME-MS61) eine Multielement- und Goldanalyse mittels Brandprobe-AA (Code Au-AA23) durchgeführt wird. Die Qualitätssicherung/Qualitätskontrolle (QA/QC) wird mittels systematischer Einfügung zertifizierter Standardreferenzmaterialien (CSRM), Blindproben und Duplikate in den Probenstrom gewährleistet. Die Analyseergebnisse werden nach Erhalt, Zusammenstellung und Bestätigung bekannt gegeben. ALS Geochemistry arbeitet nach einem globalen Qualitätshandbuch für Geochemie (Global Geochemistry Quality Manual), das der Norm ISO/IEC 17025:2017 entspricht.

Über Las Coloradas

Im Rahmen des Projekts Las Coloradas (8,5 km2 – 3,3 Quadratmeilen) wurde ein historischer Bergbaubezirk konsolidiert, der zahlreiche Silber-Gold-Blei-Zink-Kupfer-Minen umfasst, in denen ASARCO (American Smelting and Refining Company), die in den USA ansässige Tochtergesellschaft von Grupo Mexico, in der Vergangenheit Abbauarbeiten betrieben hat.

Las Coloradas befindet sich im Bergbaubezirk Parral innerhalb des Central Mexican Silver Belt, etwa 30 Kilometer südöstlich der Stadt Hidalgo de Parral bzw. 40 Kilometer östlich der Bergbaubezirke San Francisco de Oro und Santa Barbara, in denen mehrere alte große Minen wie La Prieta, Veta Colorada, Palmilla, Esmeralda, San Francisco del Oro und Santa Barbara angesiedelt sind. Eine Standortkarte kann unter folgendem Link eingesehen werden: https://www.kingsmenresources.com/area-history

Qualifizierter Sachverständiger

Kieran Downes, Ph.D., P.Geo., ein Direktor von Kingsmen und ein qualifizierter Sachverständiger im Sinne der Vorschrift National Instrument 43-101, hat die wissenschaftlichen und technischen Angaben in dieser Pressemitteilung geprüft und genehmigt.

Über Kingsmen Resources

Kingsmen Resources ist ein Mineralexplorationsunternehmen, dessen Hauptaugenmerk auf den Ausbau seiner zu 100 % unternehmenseigenen Projekte gerichtet ist: das Silber-/Goldprojekt Las Coloradas und das Silber-/Goldprojekt Almoloya im ertragreichen Bergbaubezirk Parral in Mexiko. Die Projekte beherbergen historische, ehemals aktive hochgradige Silberminen und gelten als höffig für weitere Edelmetalllagerstätten, denn sie erstrecken sich entlang derselben strukturellen und stratigrafischen Gürtel, die Standort zahlreicher anderer hochgradiger Lagerstätten sind. Darüber hinaus hält das Unternehmen eine 1%ige NSR-Royalty auf die Claims La Trini, die Teil des von GoGold Resources Inc. betriebenen Projekts Los Ricos North in Mexiko sind. Kingsmen ist ein börsennotiertes Unternehmen (TSXV:KNG; OTCQB: KNGRF; FWB:TUY) und hat seinen Hauptsitz in Vancouver (British Columbia).

Für das Board,

gez.: „Scott Emerson

Scott Emerson, President & CEO

Tel: 6046859316

E-Mail: se@kingsmenresources.com

Folgen Sie uns auf LinkedInInstagram und X

Die TSX Venture Exchange und ihre Regulierungsorgane (in den Statuten der TSX Venture Exchange als Regulation Services Provider bezeichnet) übernehmen keinerlei Verantwortung für die Angemessenheit oder Genauigkeit dieser Pressemitteilung.

Zukunftsgerichtete Aussagen:

Bestimmte Angaben in dieser Pressemitteilung stellen möglicherweise zukunftsgerichtete Informationen oder zukunftsgerichtete Aussagen im Sinne der kanadischen Wertpapiergesetze dar. Diese Aussagen können sich auf diese Pressemitteilung und andere Angelegenheiten beziehen, die in den öffentlich eingereichten Unterlagen des Unternehmens genannt werden. Bei der Erstellung der zukunftsgerichteten Aussagen hat das Unternehmen bestimmte Faktoren und Annahmen zugrunde gelegt, die auf den derzeitigen Überzeugungen des Unternehmens sowie auf den Annahmen und Informationen, die dem Unternehmen derzeit zur Verfügung stehen, beruhen. Diese Aussagen beziehen sich auf zukünftige Ereignisse und Bedingungen und sind daher bekannten und unbekannten Risiken, Ungewissheiten und anderen Faktoren unterworfen, die dazu führen können, dass die tatsächlichen Ergebnisse, Leistungen oder Errungenschaften wesentlich von den zukünftigen Ergebnissen, Leistungen oder Errungenschaften abweichen, die in den Aussagen ausgedrückt oder impliziert werden. Zu diesen Risiken und Ungewissheiten zählen unter anderem: dass das politische Umfeld, in dem das Unternehmen tätig ist, weiterhin die Entwicklung und den Betrieb von Bergbauprojekten unterstützt; die Bedrohung durch den Ausbruch von Viren und Infektionskrankheiten; Risiken im Zusammenhang mit negativer Publicity in Bezug auf das Unternehmen oder die Bergbauindustrie im Allgemeinen; geplante Arbeitsprogramme; Genehmigungen; und Beziehungen zu den Gemeinden. Die Leser werden davor gewarnt, sich vorbehaltlos auf zukunftsgerichtete Aussagen zu verlassen. Das Unternehmen beabsichtigt nicht und lehnt ausdrücklich jede Absicht oder Verpflichtung ab, zukunftsgerichtete Aussagen zu aktualisieren oder zu revidieren, sei es aufgrund neuer Informationen, zukünftiger Ereignisse oder aus anderen Gründen, es sei denn, dies ist gesetzlich vorgeschrieben.

Die Ausgangssprache (in der Regel Englisch), in der der Originaltext veröffentlicht wird, ist die offizielle, autorisierte und rechtsgültige Version. Diese Übersetzung wird zur besseren Verständigung mitgeliefert. Die deutschsprachige Fassung kann gekürzt oder zusammengefasst sein. Es wird keine Verantwortung oder Haftung für den Inhalt, die Richtigkeit, die Angemessenheit oder die Genauigkeit dieser Übersetzung übernommen. Aus Sicht des Übersetzers stellt die Meldung keine Kauf- oder Verkaufsempfehlung dar! Bitte beachten Sie die englische Originalmeldung auf www.sedarplus.cawww.sec.govwww.asx.com.au/ oder auf der Firmenwebsite!

Übermittelt durch das IRW-Press News-Service der IR-WORLD.com Finanzkommunikation GmbH

Für den Inhalt der Mitteilung bzw. des Research ist alleine der Ersteller der Nachricht verantwortlich. Diese Meldung ist keine Anlageberatung oder Aufforderung zum Abschluss bestimmter Börsengeschäfte.

Firmenkontakt und Herausgeber der Meldung:

IR-WORLD.com Finanzkommunikation GmbH
Wickepointgasse 13
A4611 Buchkirchen
Telefon: +43 (7242) 211930-11
Telefax: +43 (7242) 211930-10
http://www.IRW-Press.com

Ansprechpartner:
Simone Prey
Telefon: +43 (7242) 211930-11
E-Mail: office@ir-world.com
Für die oben stehende Story ist allein der jeweils angegebene Herausgeber (siehe Firmenkontakt oben) verantwortlich. Dieser ist in der Regel auch Urheber des Pressetextes, sowie der angehängten Bild-, Ton-, Video-, Medien- und Informationsmaterialien. Die United News Network GmbH übernimmt keine Haftung für die Korrektheit oder Vollständigkeit der dargestellten Meldung. Auch bei Übertragungsfehlern oder anderen Störungen haftet sie nur im Fall von Vorsatz oder grober Fahrlässigkeit. Die Nutzung von hier archivierten Informationen zur Eigeninformation und redaktionellen Weiterverarbeitung ist in der Regel kostenfrei. Bitte klären Sie vor einer Weiterverwendung urheberrechtliche Fragen mit dem angegebenen Herausgeber. Eine systematische Speicherung dieser Daten sowie die Verwendung auch von Teilen dieses Datenbankwerks sind nur mit schriftlicher Genehmigung durch die United News Network GmbH gestattet.

counterpixel